欢迎来到数据结构的世界,来一点小小的代码震撼!(自己写的板子,有bug概不负责)

1
2
3
4
5
6
7
8
9
10
11
12
13
14
15
16
17
18
19
20
21
22
23
24
25
26
27
28
29
30
31
32
33
34
35
36
37
38
// 栈的定义 与 预处理
#define ElemType int /*Type of Elem*/
#define ElemType_Error -1 /*Type of Elem*/
typedef struct Stack{
ElemType elem;
struct Stack *next;
}Stack;

//生成栈
Stack* Create_Stack(){
Stack* SNode = (Stack*)malloc(sizeof (Stack));
SNode->elem = ElemType_Error;
SNode->next = NULL;
return SNode;
}

//判断栈是否为空
int IsEmpty_Stack(Stack* stack){
return (stack->next == NULL);
}

//向栈中加入元素
void Push_Stack(Stack* stack, ElemType elem){
Stack *SNode = (Stack *) malloc(sizeof(Stack));
SNode->elem = elem;
SNode->next = stack->next;
stack->next = SNode;
}

//将栈顶元素弹出
ElemType Pop_Stack(Stack* stack){
if(!(stack->next)) return ElemType_Error;
Stack *SNode = stack->next;
stack->next = SNode->next;
ElemType TopElem = SNode->elem;
free(SNode);
return TopElem;
}

1
2
3
4
5
6
7
8
9
10
11
12
13
14
15
16
17
18
19
20
21
22
23
24
25
26
27
28
29
30
31
32
33
34
35
36
37
38
39
40
41
42
43
44
45
46
47
48
49
50
//队的定义 与 预处理
#define ElemType int /*Type of Elem*/
#define ElemType_Error -1 /* untouchable num */
typedef struct Queue{
ElemType *elem_array;
int MaxSize;
int front;
int rear;
}Queue;

//创建一个空队(MaxSize 至少比元素最多数量大 1)
Queue* Create_Queue(Queue* queue,int MaxSize){
queue = (Queue*) malloc(sizeof(Queue));
queue->elem_array = (ElemType*) malloc((MaxSize)*sizeof (ElemType));
queue->MaxSize = MaxSize;
queue->front = queue->rear = 0;
return queue;
}

//求队的长度
int Length_Queue(Queue* queue){
return (queue->rear - queue->front + queue->MaxSize) % queue->MaxSize;
}

//判断队是否为空
int IsEmpty_Queue(Queue* queue){
return (queue->rear == queue->front);
}

//判断队是否已满
int IsFull_Queue(Queue* queue){
return ((queue->rear+1)%queue->MaxSize == queue->front);
}

//从队尾加入新元素
int Add_Queue(Queue* queue,ElemType elem){
if((queue->rear+1)%queue->MaxSize == queue->front) return 0;
queue->elem_array[queue->rear] = elem;
queue->rear = (queue->rear+1)%queue->MaxSize;
return 1;

}

//从队首剔除元素
ElemType Delete_Queue(Queue* queue){
if(queue->rear == queue->front) return ElemType_Error;
ElemType FrontElem = queue->elem_array[queue->front];
queue->front = (queue->front+1)%queue->MaxSize;
return FrontElem;
}

二叉树

1
2
3
4
5
6
7
8
9
10
11
12
13
14
15
16
17
18
19
20
21
22
23
24
25
26
27
28
29
30
31
32
33
34
35
36
37
38
39
40
41
42
43
44
45
46
47
48
49
50
51
52
53
54
55
56
57
58
59
60
61
62
63
64
65
66
67
68
69
70
71
72
73
74
75
76
77
78
79
80
81
82
83
84
85
86
87
88
89
90
91
92
93
94
95
96
97
98
99
100
101
102
103
104
105
106
107
108
109
110
111
112
113
114
115
116
117
118
119
120
121
122
123
124
125
126
127
128
129
130
131
132
133
134
135
136
137
138
139
140
141
142
143
#define ElemType int /*Type of Elem*/

//树的定义
typedef struct Tree{
ElemType elem;
struct Tree *left;
struct Tree *right;
}Tree;

int cmp(const void* e1,const void*e2){
ElemType a = *(ElemType*)e1;
ElemType b = *(ElemType*)e2;
return a-b;
}

//在树中添加结点
Tree* Add_Tree(Tree *tree, ElemType elem ,int (*cmp)(const void* e1,const void*e2)){
if(tree){
if(cmp(&elem,&tree->elem)==0) { //元素不重复版本
return tree;
}else {
if( cmp(&elem,&tree->elem) < 0 ) tree->left = Add_Tree(tree->left, elem,cmp);
else tree->right = Add_Tree(tree->right, elem,cmp);
return tree;
}
}else{ //空树 或 空结点
Tree *new_tree = (Tree *) malloc(sizeof (Tree));
new_tree->right = new_tree->left = NULL;
new_tree->elem = elem;
return new_tree;
}
}

//在树中查找元素
int Find_Tree(Tree *tree ,ElemType key ,int (*cmp)(const void* e1,const void*e2)){
while(tree){
if( cmp(&key,&tree->elem) == 0 ) return 1;
else if( cmp(&key,&tree->elem) < 0 ) tree = tree->left;
else tree = tree->right;
}
return 0;
}

//删除树中结点
Tree* Delete_Tree(Tree *tree,ElemType key ,int (*cmp)(const void* e1,const void*e2)){
if(tree) {
if( cmp(&key,&tree->elem) == 0 ) {
if (tree->left && tree->right) { //左右结点均非空
ElemType temp;
Tree *op_tree = tree->right;
while (op_tree->left) op_tree = op_tree->left;
temp = tree->elem;
tree->elem = op_tree->elem;
op_tree->elem = temp;
tree->right = Delete_Tree(tree->right, temp , cmp);
return tree;
} else if (tree->left || tree->right) { //左右结点有一个不空
Tree *op_tree = (tree->left == NULL) ? (tree->right) : (tree->left);
free(tree);
return op_tree;
} else { //左右结点均空(叶节点)
free(tree);
return NULL;
}
}else if( cmp(&key,&tree->elem) < 0) tree->left = Delete_Tree(tree->left, key, cmp);
else tree->right = Delete_Tree(tree->right, key,cmp);
}
return tree;
}

//求树高
int Height_Tree(Tree *tree){
if(!tree) return 0;
int h_left = Height_Tree(tree->left);
int h_right= Height_Tree(tree->right);
return (h_left > h_right ? h_left : h_right ) + 1;
}

//前序遍历
void PreOrderTraversal(Tree *tree){
if(tree){
printf("%d ",tree->elem);
PreOrderTraversal(tree->left);
PreOrderTraversal(tree->right);
}
}

//中序遍历
void InOrderTraversal(Tree *tree){
if(tree){
InOrderTraversal(tree->left);
printf("%d ",tree->elem);
InOrderTraversal(tree->right);
}
}

//后序遍历
void PostOrderTraversal(Tree *tree){
if(tree){
PostOrderTraversal(tree->left);
PostOrderTraversal(tree->right);
printf("%d ",tree->elem);
}
}

//层序遍历
void LevelOrderTraversal(Tree *tree){
if(!tree) return; //空树返回
typedef struct Q{Tree *elem_T; struct Q *next;}Q;

Q *q_head = (Q *)malloc(sizeof(Q));
q_head->elem_T = NULL; //Create_Queue()

q_head->next = (Q *)malloc(sizeof(Q));
q_head->next->elem_T = tree;
q_head->next->next = NULL; //Add_Queue(tree)

Q *q_rear = q_head->next;

Tree *T;
while(q_head->next){
printf("%d ",q_head->next->elem_T->elem);

Q *q_off = q_head->next;
q_head->next = q_head->next->next;
T = q_off->elem_T;
free(q_off); //Delete_Queue(q_off)
if(!q_head->next) q_rear=q_head;

if(T->left){
q_rear->next = (Q*) malloc(sizeof (Q));
q_rear = q_rear->next;
q_rear->elem_T = T->left;
q_rear->next = NULL; //Add_Queue(T->left)
}
if(T->right){
q_rear->next = (Q*) malloc(sizeof (Q));
q_rear = q_rear->next;
q_rear->elem_T = T->right;
q_rear->next = NULL; //Add_Queue(T->right)
}
}
}

1
2
3
4
5
6
7
8
9
10
11
12
13
14
15
16
17
18
19
20
21
22
23
24
25
26
27
28
29
30
31
32
33
34
35
36
37
38
39
40
41
42
43
44
45
46
47
48
49
50
51
52
53
54
55
56
57
58
59
60
61
62
63
64
65
66
67
68
69
70
71
#define ElemType int /*Type of Elem*/
#define M_For_ElemType -1 /* limit of ElemType */ //作哨兵,但好像没用(to be checked)
#define ElemType_Error -1 /* untouchable num */
typedef struct Heap{
ElemType *elem_array;
int size;
int MaxSize;
}Heap;
int cmp(const void *e1, const void *e2){ //最大堆用e1-e2 ;最小堆反之 ;注意double
return *(ElemType*)e1 - *(ElemType*)e2;
}

Heap* Create_Heap(Heap *heap ,int MaxSize){
heap=(Heap*) malloc(sizeof (Heap));
heap->elem_array = (ElemType*) malloc((MaxSize+1)*sizeof (ElemType));
heap->MaxSize = MaxSize;
heap->size = 0;
heap->elem_array[0] = M_For_ElemType; //哨兵,但好像没用(to be checked)
return heap;
}

int AddInTail_Heap(Heap *heap, ElemType elem){
if(heap->size < heap->MaxSize){
heap->elem_array[++heap->size] = elem;
return 1;
}
return 0;
}

int Insert_Heap(Heap *heap, ElemType elem, int (*cmp)(const void *e1,const void *e2)) {
if (heap->size == heap->MaxSize) return 0;
int i = ++heap->size;
while ( i>1 && cmp(&elem, &heap->elem_array[i/2]) > 0 ) { //类似插入排序原理
heap->elem_array[i] = heap->elem_array[i/2];
i /= 2;
}
heap->elem_array[i] = elem;
return 1;
}

void PrecDown_Heap(Heap* heap, int subscript, int (*cmp)(const void *e1,const void *e2)){
// PrecDown -> Precolate(过滤) Down
for (int i = subscript; 2*i <= heap->size; ) { //确保左子树存在
int next_subscript; // subscript --> 下标
if(2*i+1 > heap->size) next_subscript = 2*i; //右子树不存在时
else next_subscript = ( cmp(&heap->elem_array[2*i],&heap->elem_array[2*i+1]) > 0 ) ? (2*i) : (2*i+1);
if( cmp(&heap->elem_array[next_subscript],&heap->elem_array[i]) > 0 ){
ElemType temp = heap->elem_array[next_subscript];
heap->elem_array[next_subscript] = heap->elem_array[i];
heap->elem_array[i] = temp;
i = next_subscript;
}else break;
}
}

ElemType PopM_Heap(Heap *heap, int (*cmp)(const void *e1,const void *e2)){
if(!heap->size) return ElemType_Error; //堆空返回error
else{
ElemType M_Elem = heap->elem_array[1];
heap->elem_array[1] = heap->elem_array[heap->size];
heap->size--;
PrecDown_Heap(heap,1,cmp);
return M_Elem;
}
}

void Build_Heap(Heap *heap, int (*cmp)(const void *e1,const void *e2)){
for (int i = heap->size/2; i > 0; --i) { //从最后一个非叶结点的位置开始往前下滤
PrecDown_Heap(heap,i,cmp);
}
}

归并排序

1
2
3
4
5
6
7
8
9
10
11
12
13
14
15
16
17
18
19
20
21
22
23
24
25
26
27
28
29
30
31
32
33
34
35
36
37
38
39
40
41
#define ElemType int /*Type of Elem*/

int cmp(const void* e1,const void* e2){ //升序用 e1-e2
return *(ElemType*)e1 - *(ElemType*)e2;
}
void merge(ElemType* A,ElemType* TempA,int l,int r,int REnd,int (*cmp)(const void* e1,const void* e2)){
//数组 A 由左右两段有序数列组成,此函数将 A 的左右两端归并
int LEnd = r - 1;
int n = REnd - l + 1;
int subscript = l;
while(l<=LEnd && r<=REnd) {
if ( cmp(&A[l], &A[r])>0 ) TempA[subscript++] = A[r++];
else TempA[subscript++] = A[l++];
}
while(r<=REnd) TempA[subscript++] = A[r++];
while(l<=LEnd) TempA[subscript++] = A[l++];
for (int i = 0; i < n; ++i,REnd--) A[REnd] = TempA[REnd];
}
void merge_pass(ElemType* A,ElemType* TempA,int n,int length,int (*cmp)(const void* e1,const void* e2)){
//对 A 的每两个连续的长为 length 的子段归并
int i;
for ( i = 0; i <= n-2*length; i+=2*length) {
merge(A,TempA,i,i+length,i+2*length-1,cmp);
}
if(i+length < n) merge(A,TempA,i,i+length,n-1,cmp);
else for (int j = i; j < n; ++j) TempA[j] = A[j];
}

void mergesort(ElemType* A,int n,int (*cmp)(const void* e1,const void* e2)){ //主体函数
int length = 1;
ElemType *TemA = (ElemType*)malloc((n)*sizeof (ElemType));
if(TemA){
while (length < n){ //相互交替覆盖
merge_pass(A,TemA,n,length,cmp);
length <<= 1;
merge_pass(TemA,A,n,length,cmp);
length <<= 1;
}
free(TemA);
}else perror("error: malloc fault");
}

堆排序

1
2
3
4
5
6
7
8
9
10
11
12
13
14
15
16
17
18
19
20
21
22
23
24
25
26
27
28
29
30
31
32
33
#define ElemType int /*Type of Elem*/
int cmp(const void* e1,const void* e2){ //升序
return *(ElemType*)e1 - *(ElemType*)e2;
}
void PrecDown(ElemType* a, int subscript, int n, int (*cmp)(const void *e1,const void *e2)){
// PrecDown -> Precolate(过滤) Down
for (int i = subscript; 2*i <= n ;) { //确保左子树存在
int next_subscript;
if( 2*i+1 > n ) next_subscript = 2*i; //右子树不存在时
else next_subscript = (cmp(&a[2*i],&a[2*i+1])>0) ? (2*i) : (2*i+1);
if(cmp(&a[next_subscript],&a[i])>0){
ElemType temp = a[next_subscript];
a[next_subscript] = a[i];
a[i] = temp;
i = next_subscript;
}else break;
}
}
void heapsort(ElemType* a,int n,int (*cmp)(const void* e1,const void* e2)){
a--; //使 a[1] 存放第一个元素,与堆的存放规律匹配
for (int i = n/2; i > 0 ; --i) { //建堆
PrecDown(a,i,n,cmp);
}
ElemType temp;
while(n > 1){
temp = a[1];
a[1] = a[n];
a[n] = temp;
n--;
PrecDown(a,1,n,cmp);
}
a++;
}

快速排序

1
2
3
4
5
6
7
8
9
10
11
12
13
14
15
16
17
18
19
20
21
22
23
24
25
26
27
28
29
30
31
32
33
34
35
36
37
38
39
40
41
42
43
44
45
#define Elemtype int /*Type of Elem*/
#define CutOff 10 /* 当数组长度 < CutOff时,进行简单插入排序 !CutOff必须大于3 ! */
int cmp(const void* e1, const void* e2){ //升序用 e1-e2;降序反之
return *(Elemtype*)e1 - *(Elemtype*)e2;
}
void swap(Elemtype* a,Elemtype *b){
Elemtype temp = *a;
*a = *b;
*b = temp;
}
Elemtype Pivot_Get(Elemtype* a,int n,int (*cmp)(const void* e1, const void* e2)){
// n>=2
int mid = (n-1)/2;
if( cmp(&a[0],&a[mid])>0 ) swap(&a[0],&a[mid]);
if( cmp(&a[0],&a[n-1])>0 ) swap(&a[0],&a[n-1]);
if( cmp(&a[mid],&a[n-1])>0 ) swap(&a[mid],&a[n-1]);
// a[0] <= a[mid] <= a[n-1] 保证pivot具有一定的随机性
swap(&a[mid],&a[n-2]); // a[n-1]一定>=pivot,减少运算量
return a[n-2];
}
void quicksort(Elemtype* a, int n ,int (*cmp)(const void* e1, const void* e2)){
if(n > CutOff){
int pivot = Pivot_Get(a,n,cmp);
Elemtype *i = a;
Elemtype *j = &a[n-3];
for (;;) {
while (cmp(i, &pivot) < 0) i++;
while (cmp(j, &pivot) > 0) j--;
if(i<=j) swap(i++, j--);
else break;
}
swap(&a[n-2],i);
quicksort(a,(int)(i-a),cmp);
quicksort(i+1,(int)(&a[n-1]-i),cmp);
} else{
for (int j ,i = 1; i < n; ++i) { //插入排序
Elemtype hold=a[i];
for (j = i-1; j >= 0 ; --j) {
if( cmp(&hold,&a[j])<0 ) a[j+1]=a[j];
else break;
}
a[j+1]=hold;
}
}
}

基数排序

1
2
3
4
5
6
7
8
9
10
11
12
13
14
15
16
17
18
19
20
21
22
23
24
25
26
27
28
29
30
31
32
33
34
void radixsort(int *a,int n,int up_or_down,int radix,int data_max){ 
//!!只能排正整数!!
//up_or_down == 1 为升序,up_or_down == 0 为降序 ; radix为基数(radix进制) ; data为数据最大值
int Temp[n]; //备用数组
int *bucket = (int*)malloc(radix*sizeof(int)); // 桶
int p = 1 ,cycle_num = 0; // p = radix^cycle;
int *temp1 = Temp ,*temp2 = a; // 两个数组指针交替使用

while( p>0 && data_max / p ){ // p>0 : 防止 p 超过 2^31-1 爆 int
memset(bucket,0,radix*sizeof(int));
for (int i = 0; i < n; ++i) {
int k = (temp2[i]/p)%radix;
bucket[k]++; //记录桶中元素的个数
}

if(up_or_down) for (int i = 1; i < radix; ++i) bucket[i] += bucket[i-1];
else for (int i = radix-2; i >=0 ; --i) bucket[i] += bucket[i+1];
//利用 bucket[] 记录元素位置

for (int i = n-1; i >= 0 ; --i) { //倒序保证有序性
int k = (temp2[i]/p)%radix;
temp1[--bucket[k]] = temp2[i];
}

int *swap = temp1;
temp1 = temp2;
temp2 = swap; //交换数组指针指代的位置

cycle_num++;
p *= radix;
}
if( cycle_num & 1 ) memcpy(a,Temp,n*sizeof(int)); //奇数次循环需要将结果转移至 a[]中
free(bucket);
}

AVL 平衡二叉树*

1
2
3
4
5
6
7
8
9
10
11
12
13
14
15
16
17
18
19
20
21
22
23
24
25
26
27
28
29
30
31
32
33
34
35
36
37
38
39
40
41
42
43
44
45
46
47
48
49
50
51
52
53
54
55
56
57
58
59
60
61
62
63
64
65
66
67
68
69
70
71
72
73
74
75
76
77
78
79
80
81
82
83
84
85
86
87
88
89
90
91
92
93
94
95
96
97
98
99
100
101
102
103
104
105
106
107
108
109
typedef struct AvlTree{
int value;
int height; //树高
struct AvlTree* left;
struct AvlTree* right;
}AvlTree;

int GetHeight(AvlTree* avlTree){ //取得结点树高(为了统一NULL的情况)
if(!avlTree) return 0;
else return avlTree->height;
}

int Max(int a,int b){return a>b?a:b;}

AvlTree* L_Rotate(AvlTree* avlTree){ //左旋
AvlTree* root = avlTree->right;
avlTree->right = root->left;
root->left = avlTree;
avlTree->height = Max(GetHeight(avlTree->left), GetHeight(avlTree->right)) + 1;
root->height = Max(GetHeight(root->left), GetHeight(root->right)) + 1;
return root;
}
AvlTree* R_Rotate(AvlTree* avlTree){ //右旋
AvlTree* root = avlTree->left;
avlTree->left = root->right;
root->right = avlTree;
avlTree->height = Max(GetHeight(avlTree->left), GetHeight(avlTree->right)) + 1;
root->height = Max(GetHeight(root->left), GetHeight(root->right)) + 1;
return root;
}
AvlTree* RL_Rotate(AvlTree* avlTree){ //右_左旋
avlTree->right = R_Rotate(avlTree->right);
avlTree = L_Rotate(avlTree);
return avlTree;
}
AvlTree* LR_Rotate(AvlTree* avlTree){ //左_右旋
avlTree->left = L_Rotate(avlTree->left);
avlTree = R_Rotate(avlTree);
return avlTree;
}

AvlTree* Add_AvlTree(AvlTree* avlTree,int value){
if(!avlTree){ //空树
AvlTree *newTree = (AvlTree*) malloc(sizeof (AvlTree));
newTree->value = value;
newTree->left = newTree->right = NULL;
newTree->height = 1;
return newTree;
}else{
if(value < avlTree->value){
avlTree->left = Add_AvlTree(avlTree->left,value);
if(GetHeight(avlTree->left) - GetHeight(avlTree->right) == 2){
if(value < avlTree->left->value) avlTree = R_Rotate(avlTree); //左左型用左旋
else avlTree = LR_Rotate(avlTree); //左右型用左右旋
}
}else if(value > avlTree->value){
avlTree->right = Add_AvlTree(avlTree->right,value);
if(GetHeight(avlTree->right) - GetHeight(avlTree->left) == 2){
if(value > avlTree->right->value) avlTree = L_Rotate(avlTree); //右右型用左旋
else avlTree = RL_Rotate(avlTree); //右左型用右左旋
}
}
avlTree->height = Max(GetHeight(avlTree->right), GetHeight(avlTree->left))+1;
//更新树高
return avlTree;
}
}

AvlTree* Delete_Avltree(AvlTree* avlTree,int value){
if(avlTree){
if(avlTree->value == value) {
if (avlTree->left && avlTree->right) { //左右结点均非空
int temp;
AvlTree *op_tree = avlTree->right;
while(op_tree->left) op_tree=op_tree->left;
temp = op_tree->value;
op_tree->value = value;
avlTree->value = temp;
avlTree = Delete_Avltree(avlTree,value); //不直接更新avlTree->right是为了保证能够持续地在标红的else里递归旋转AVL树
} else if (avlTree->left || avlTree->right) { //左右结点有一个不空
AvlTree *op_tree = (avlTree->left == NULL) ? (avlTree->right) : (avlTree->left);
free(avlTree);
return op_tree;
} else { //左右结点均空(叶节点)
free(avlTree);
return NULL;
}
}else {
if (value > avlTree->value) {
avlTree->right = Delete_Avltree(avlTree->right, value);
if(GetHeight(avlTree->left) - GetHeight(avlTree->right) == 2){
if( avlTree->right && GetHeight(avlTree->left->left) == 1){
//右子树存在 && avlTree->left->left 为叶结点
avlTree = LR_Rotate(avlTree);
}else avlTree = R_Rotate(avlTree);
}
} else { //与if相反
avlTree->left = Delete_Avltree(avlTree->left, value);
if(GetHeight(avlTree->right) - GetHeight(avlTree->left) == 2){
if(avlTree->left && GetHeight(avlTree->right->right) == 1){
avlTree = RL_Rotate(avlTree);
}else avlTree = L_Rotate(avlTree);
}
}
avlTree->height = Max(GetHeight(avlTree->left), GetHeight(avlTree->right)) + 1;
//更新树高
}
}else return avlTree;
}

右旋:

image-20240211014541879

左旋:

image-20240211014648277

左右旋:

image-20240211014810193

右左旋:

image-20240211014921961

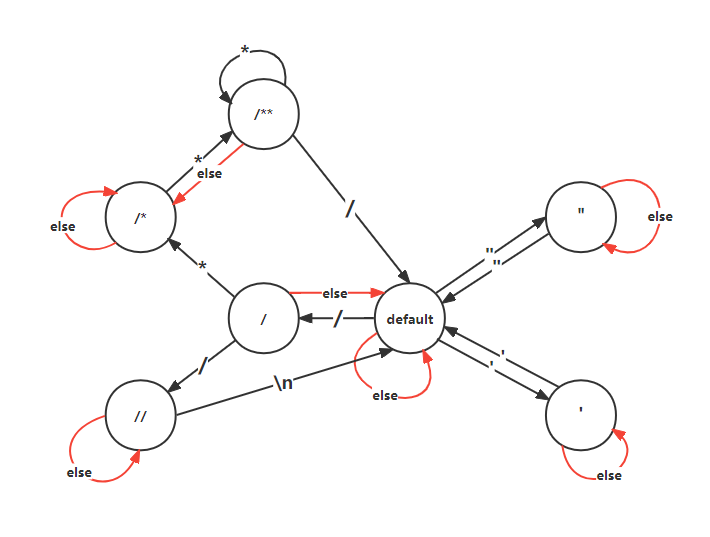
有限自动机*

忽略 C语言代码中 的注释///**/ (不考虑字符串中有'" 的情况)

1
2
3
4
5
6
7
8
9
10
11
12
13
14
15
16
17
18
19
20
21
22
23
24
25
26
27
28
29
30
31
32
33
34
35
36
37
38
39
40
41
42
43
44
45
46
47
48
49
50
51
52
53
54
55
56
57
58
59
60
61
62
63
enum State {
dft, // default
SgSlash,// /
DbSlash,// //
Mt1, // /*
Mt2, // /**
SgQt, // '
DbQt, // "
};
enum State s = dft;
void judge(int ch){ //读取的字符
switch (s) {
case dft:
if (ch == '/') {
s = SgSlash;
}else if (ch == '\''){
s = SgQt;
}else if (ch=='\"'){
s = DbQt;
}
break;
case SgSlash:
if (ch == '*') {
s = Mt1;
} else if (ch == '/') {
s = DbSlash;
}else{
s = dft;
}
break;
case DbSlash:
if (ch=='\n'){
s = dft;
}
break;
case Mt1:
if(ch=='*'){
s = Mt2;
}
break;
case Mt2:
if(ch=='/'){
s = dft;
}else if(ch == '*'){
s = Mt2;
}else{
s = Mt1;
}
break;
case SgQt:
if(ch=='\''){
s = dft;
}
break;
case DbQt:
if(ch=='\"'){
s = dft;
}
break;
default:
break;
}
}
有限自动机